本文へスキップ

へんしゅうちゅう      \(^▽^)/

この ページ は 現在 2% クオリティyone12053.zouri.ne.jp

〒1v3-0vv0 東v都○○区○○○1-v-3

いちピコリットルのなみだ

エクセル で じゅうきゅう げんかく を おこないます



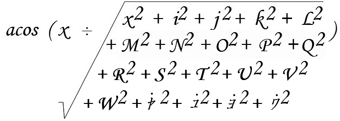
つぎ の E つ の てじゅん で どなたでも カンタン に 十九 幻角 を けいさん できます。






 









___



@ うえ の 表 を クリック します


A「 ダウンロード 」します


B「 開 く 」を おします


C D7 に にんしき  じつ エネルギー を いれます


D F7 から L13 に もうてん エネルギー を 19 かしょいれます


E G15 に チョモアーク 20 D の みひらき カクド が でてきます












ファイル 形 式


 ダウンロード は ふたつ の ファイル けいしき が あります。

じゅう きゅう げんかく (  ODF けいしき  )
 
( 107 KB ) 

じゅう きゅう げんかく (  EXCEL けいしき  )
 
( 99 KB ) 


 19げんかく の うち 16げんめ いこう に きょすう きごう に なる

 アルファベット が つきて しまいました。

 それに ともない アルファベット → カナ に きりかえていくこと に しました。

 m(_ _)m

 そのさい きぞん の もじと みわける ために もじ の うえ に

 「・」 マーク を つけることに してみます。


 れい )  「 ヤ 」 → 「 ()


 きょすうきごう の 「 () ( きょん ) 」 から はじまり

 きょすうきごう の 「 () ( きょん ) 」

 きょすうきごう の 「 () ( きょん ) 」

 きょすうきごう の 「 () ( きょん ) 」 と つづいて いきます。


 この しょしき せってい の ほぞん において

 ODF けいしき では うまく ぼうてん 「 ・」 が ほぞん できています が ↓






 EXCEL けいしき では うまく ぼうてん 「 ・」 が ほぞん できていません ↓




という リユウ により 、

これまで 1 〜 9幻角 までは EXCEL けいしき でしたが

19幻角 では ODF けいしき を メイン で あつかいます。

けいさん そのもの は どちらの けいしき でも まったく 

おなじ ∠ けっか になります。

m(_ _)m


ちなみに この がぞう にある 22.94 という あたい は 

じつエネ だけ 100 で

のこり 19こ の きょぶ を 22.94 で そろえた ときに 

19げんかく が ∠ 45ど に なる 

という サンプル の きりぬき に なっています。






そのほか

   ∠2げんかく  ∠3げんかく  ∠4げんかく  ∠5げんかく  ∠6げんかく 

   ∠2げんかく ・ ∠2めんかく ・ ∠2えんかく ・ ∠2りんかく
   ∠2てんかく ・ ∠2もんかく ・ ∠2みんかく ・ ∠2うんかく

   も あるので よかったら ためしてみてください。



\(^▽^)/