もどる  つぎへ  まえへ



















































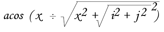
2幻角 
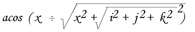
 3幻角 
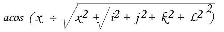
 4幻角 
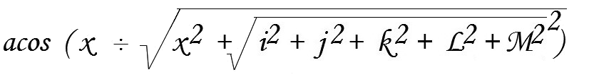
 5幻角 




もどる  まえへ